Figure 3

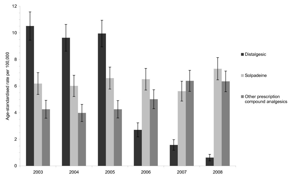
National rate of intentional drug overdose presentations to hospital in Ireland involving distalgesic, other prescription compound analgesics and solpadeine, 2003-2008. Note: Error bars represent the 95% confidence intervals for the rates.

National rate of intentional drug overdose presentations to hospital in Ireland involving distalgesic, other prescription compound analgesics and solpadeine, 2003-2008. Note: Error bars represent the 95% confidence intervals for the rates.